naročilocena
skupaj 0.00
Vaša košarica je prazna 
Na blagajno

Na zalogi

Določena gradiva lahko naročite v e-obliki, nekatera pa le v tiskani. Naročilo e-gradiv dobite na email ali kot download takoj po potrjenem plačilu. V primeru naročila gradiv v tiskani obliki z dostavo na dom je rok dobave 1-3 dni. V primeru osebnega prevzema v fotokopirnici pa ob vašem obisku.

 

10,61 €

(bruto)
VAT: 0.00% (Can vary based on customer location).
Is United States your location?

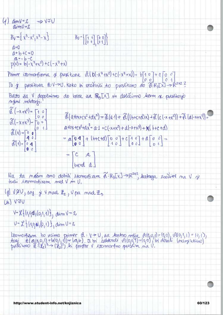
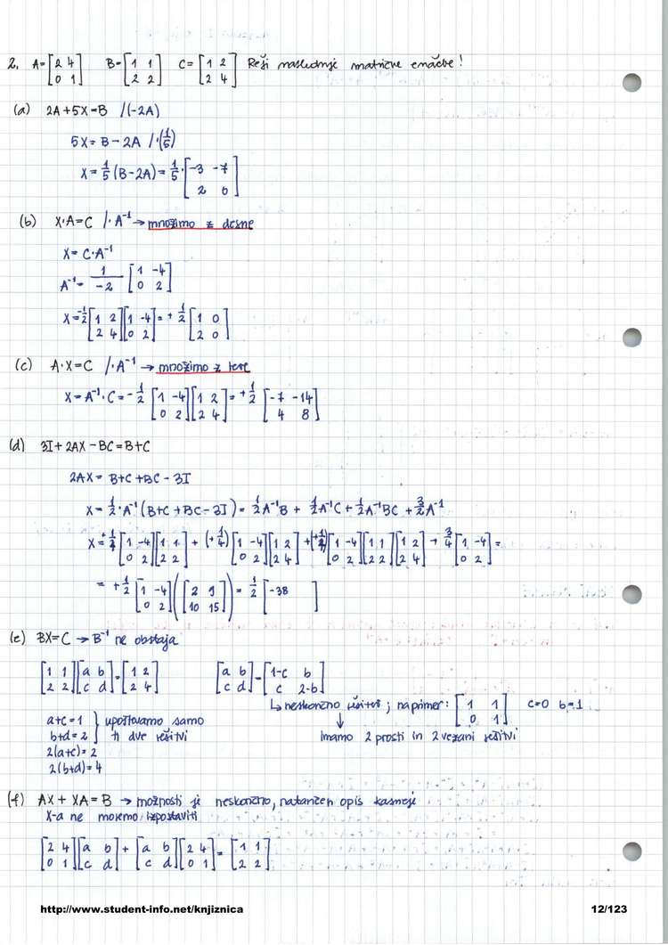
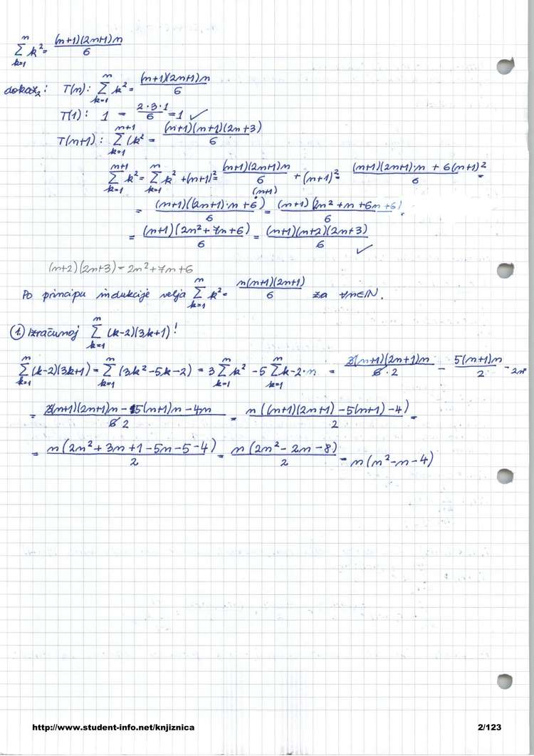
Ulj pef algebra 1 zapiski vaj ma

Predogled za strani 1, 2, 3, 4, 5, 6, 7, 12, 24, 36, 48, 60, 72, 84, 96, 108, 120 od 123

 
Toast message
Toast-Top message