naročilocena
skupaj 0.00
Vaša košarica je prazna 
Na blagajno

Na zalogi

Določena gradiva lahko naročite v e-obliki, nekatera pa le v tiskani. Naročilo e-gradiv dobite na email ali kot download takoj po potrjenem plačilu. V primeru naročila gradiv v tiskani obliki z dostavo na dom je rok dobave 1-3 dni. V primeru osebnega prevzema v fotokopirnici pa ob vašem obisku.

 

8,23 €

(bruto)
VAT: 0.00% (Can vary based on customer location).
Is United States your location?

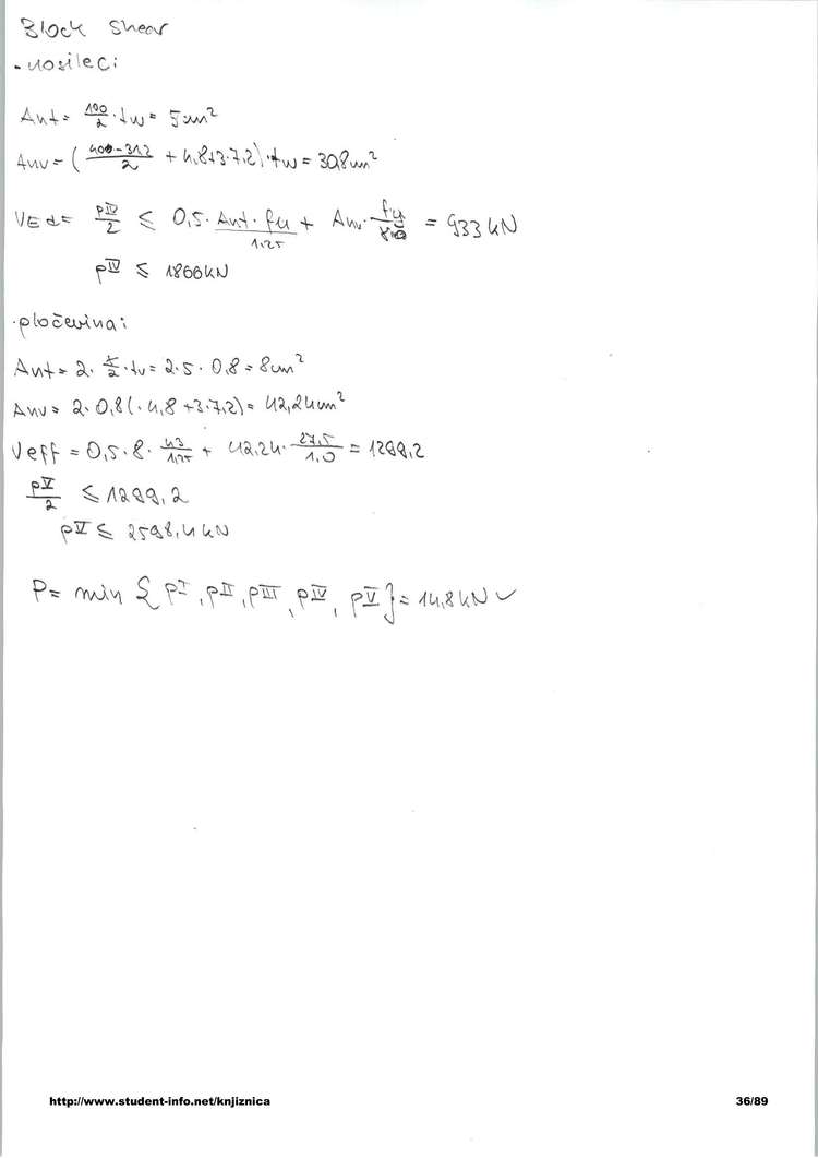
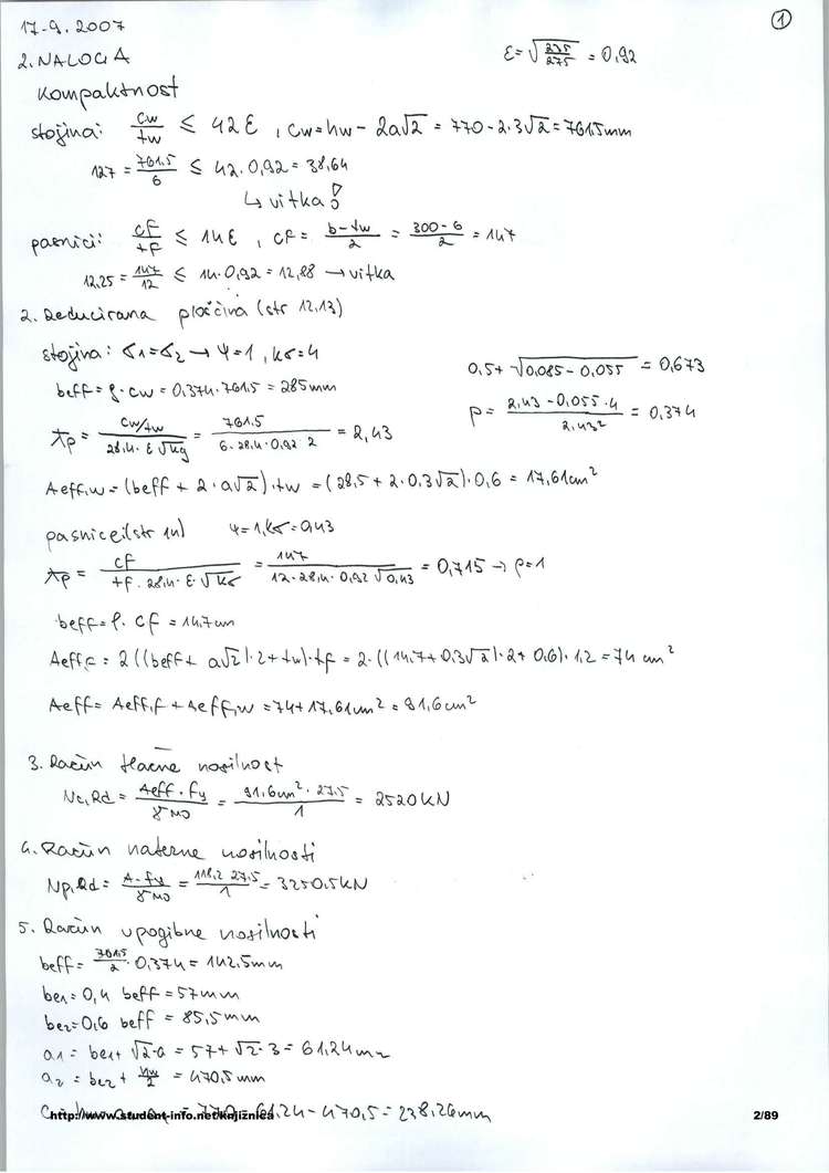
Ulj fgg jeklene kontsrukcije 1 stari izpiti

Predogled za strani 1, 2, 3, 4, 5, 6, 7, 9, 18, 27, 36, 45, 54, 63, 72, 81 od 89

 
Toast message
Toast-Top message