naročilocena
skupaj 0.00
Vaša košarica je prazna 
Na blagajno

Na zalogi

Določena gradiva lahko naročite v e-obliki, nekatera pa le v tiskani. Naročilo e-gradiv dobite na email ali kot download takoj po potrjenem plačilu. V primeru naročila gradiv v tiskani obliki z dostavo na dom je rok dobave 1-3 dni. V primeru osebnega prevzema v fotokopirnici pa ob vašem obisku.

 

4,87 €

(bruto)
VAT: 0.00% (Can vary based on customer location).
Is United States your location?

Ulj fgg gruni1 fizika 1 vaje nc

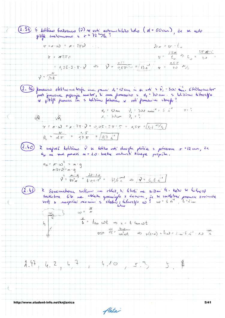
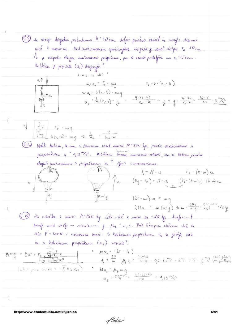
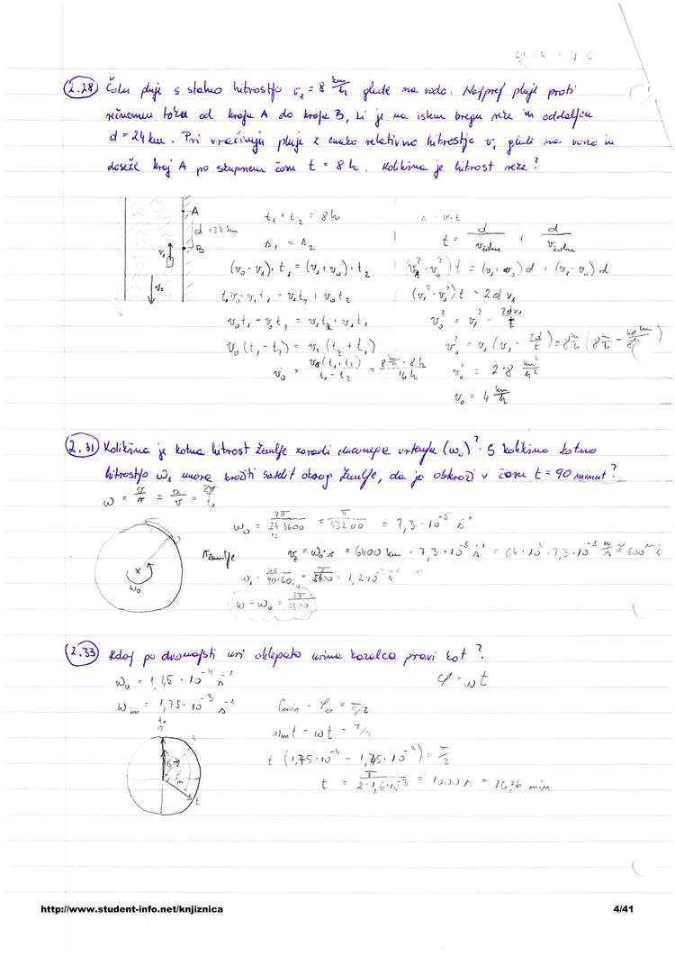
Predogled za strani 1, 2, 3, 4, 5, 6, 7, 14, 21, 28, 35 od 41

 
Toast message
Toast-Top message