Na zalogi
Določena gradiva lahko naročite v e-obliki, nekatera pa le v tiskani. Naročilo e-gradiv dobite na email ali kot download takoj po potrjenem plačilu. V primeru naročila gradiv v tiskani obliki z dostavo na dom je rok dobave 1-3 dni. V primeru osebnega prevzema v fotokopirnici pa ob vašem obisku.
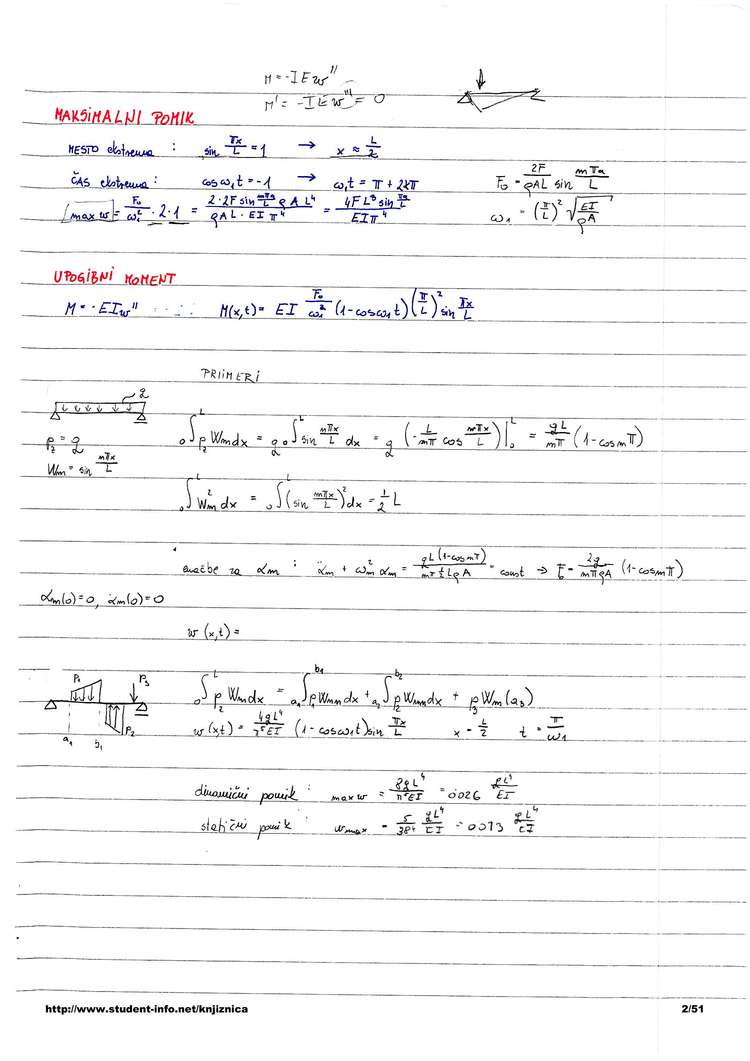
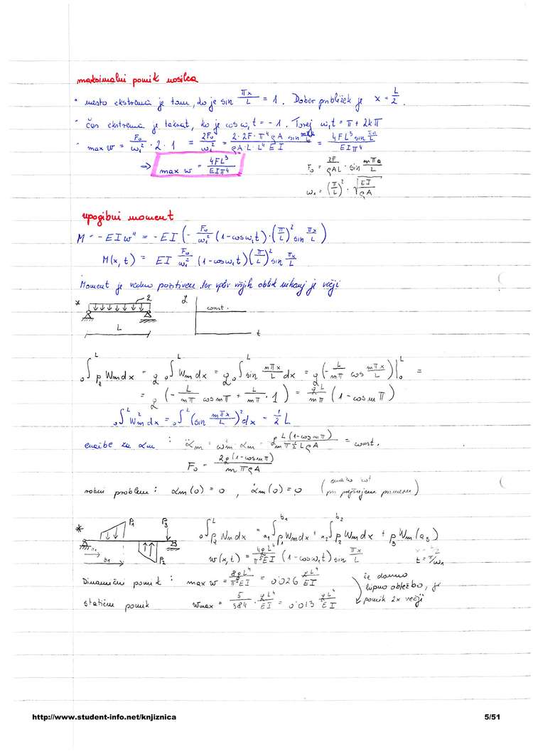
Predogled za strani 1, 2, 3, 4, 5, 6, 7, 14, 21, 28, 35, 42, 49 od 51
 
					 
					 
					 
					 
					 
					 
					 
					 
					 
					 
					 
					