naročilocena
skupaj 0.00
Vaša košarica je prazna 
Na blagajno

Na zalogi

Določena gradiva lahko naročite v e-obliki, nekatera pa le v tiskani. Naročilo e-gradiv dobite na email ali kot download takoj po potrjenem plačilu. V primeru naročila gradiv v tiskani obliki z dostavo na dom je rok dobave 1-3 dni. V primeru osebnega prevzema v fotokopirnici pa ob vašem obisku.

 

11,73 €

(bruto)
VAT: 0.00% (Can vary based on customer location).
Is United States your location?

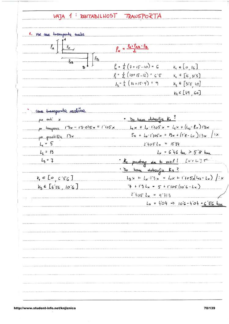
FGG | ulj fgg gruni2 organizacija gradbenih del teorija vaje in izpiti nc (139 str.)

Predogled za strani 1, 2, 3, 4, 5, 6, 7, 14, 28, 42, 56, 70, 84, 98, 112, 126 od 139

 
Toast message
Toast-Top message