naročilocena
skupaj 0.00
Vaša košarica je prazna 
Na blagajno

Na zalogi

Določena gradiva lahko naročite v e-obliki, nekatera pa le v tiskani. Naročilo e-gradiv dobite na email ali kot download takoj po potrjenem plačilu. V primeru naročila gradiv v tiskani obliki z dostavo na dom je rok dobave 1-3 dni. V primeru osebnega prevzema v fotokopirnici pa ob vašem obisku.

 

6,27 €

(bruto)
VAT: 0.00% (Can vary based on customer location).
Is United States your location?

Ulj fgg gruni4 numericne metode teorija vprasanja in reseni izpiti 2009 10 nc

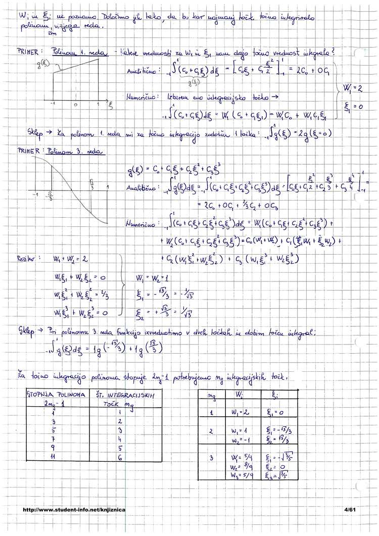
Predogled za strani 1, 2, 3, 4, 5, 6, 7, 14, 21, 28, 35, 42, 49, 56 od 61

 
Toast message
Toast-Top message