naročilocena
skupaj 0.00
Vaša košarica je prazna 
Na blagajno

Na zalogi

Določena gradiva lahko naročite v e-obliki, nekatera pa le v tiskani. Naročilo e-gradiv dobite na email ali kot download takoj po potrjenem plačilu. V primeru naročila gradiv v tiskani obliki z dostavo na dom je rok dobave 1-3 dni. V primeru osebnega prevzema v fotokopirnici pa ob vašem obisku.

 

15,02 €

(bruto)
VAT: 0.00% (Can vary based on customer location).
Is United States your location?

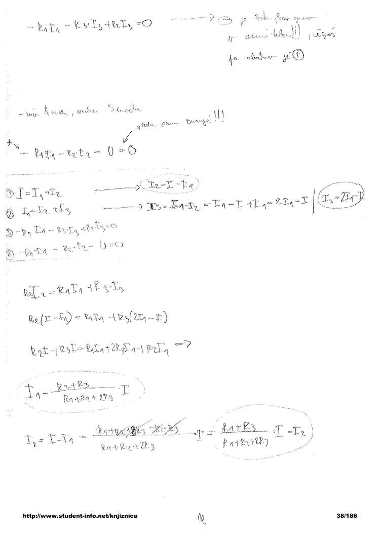
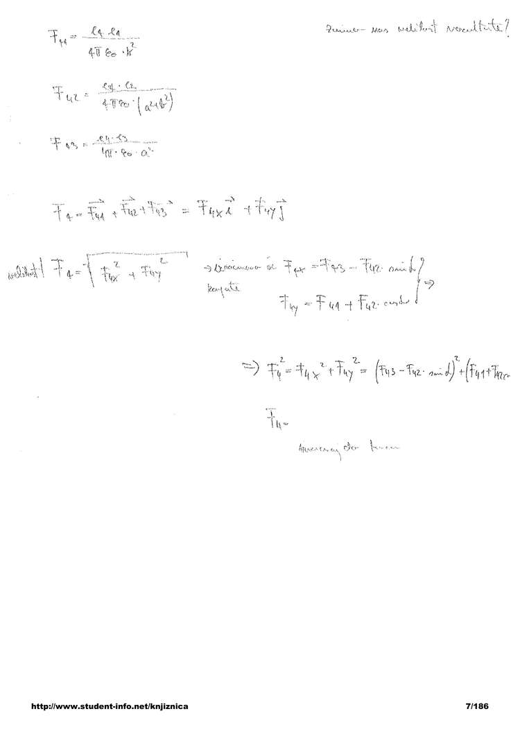
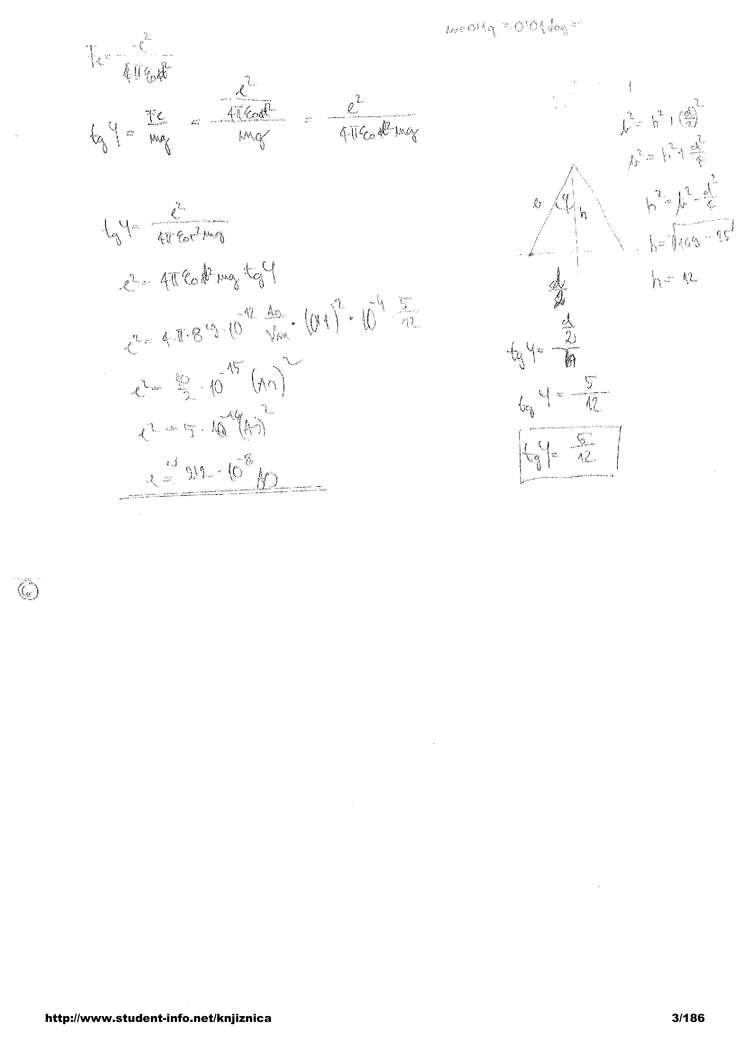
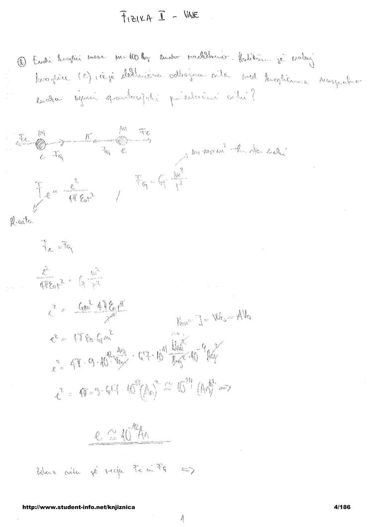
Ulj fgg fizika ii vaje 2005 06 gp

Predogled za strani 1, 2, 3, 4, 5, 6, 7, 19, 38, 57, 76, 95, 114, 133, 152, 171 od 186

 
Toast message
Toast-Top message